Menu
×
   ❮   
HTML CSS JAVASCRIPT SQL PYTHON JAVA PHP HOW TO W3.CSS C C++ C# BOOTSTRAP REACT MYSQL JQUERY EXCEL XML DJANGO NUMPY PANDAS NODEJS DSA TYPESCRIPT SWIFT ANGULAR ANGULARJS GIT POSTGRESQL MONGODB ASP AI R GO KOTLIN SWIFT SASS VUE GEN AI SCIPY AWS CYBERSECURITY DATA SCIENCE INTRO TO PROGRAMMING HTML & CSS BASH RUST TOOLS

DSA Graphs


Graphs

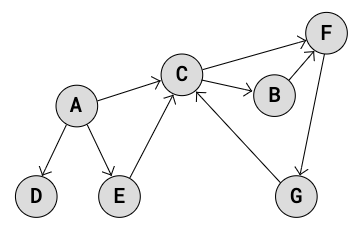
A Graph is a non-linear data structure that consists of vertices (nodes) and edges.

F 2 4 B C A E D G

A vertex, also called a node, is a point or an object in the Graph, and an edge is used to connect two vertices with each other.

Graphs are non-linear because the data structure allows us to have different paths to get from one vertex to another, unlike with linear data structures like Arrays or Linked Lists.

Graphs are used to represent and solve problems where the data consists of objects and relationships between them, such as:

  • Social Networks: Each person is a vertex, and relationships (like friendships) are the edges. Algorithms can suggest potential friends.
  • Maps and Navigation: Locations, like a town or bus stops, are stored as vertices, and roads are stored as edges. Algorithms can find the shortest route between two locations when stored as a Graph.
  • Internet: Can be represented as a Graph, with web pages as vertices and hyperlinks as edges.
  • Biology: Graphs can model systems like neural networks or the spread of diseases.


Graph Properties

Use the animation below to get an understanding of the different Graph properties, and how these properties can be combined.

4 F 2 4 3 4 B C 5 5 3 A 3 3 E D G

A weighted Graph is a Graph where the edges have values. The weight value of an edge can represent things like distance, capacity, time, or probability.

A connected Graph is when all the vertices are connected through edges somehow. A Graph that is not connected, is a Graph with isolated (disjoint) subgraphs, or single isolated vertices.

A directed Graph, also known as a digraph, is when the edges between the vertex pairs have a direction. The direction of an edge can represent things like hierarchy or flow.

A cyclic Graph is defined differently depending on whether it is directed or not:

  • A directed cyclic Graph is when you can follow a path along the directed edges that goes in circles. Removing the directed edge from F to G in the animation above makes the directed Graph not cyclic anymore.
  • An undirected cyclic Graph is when you can come back to the same vertex you started at without using the same edge more than once. The undirected Graph above is cyclic because we can start and end up in vertes C without using the same edge twice.

A loop, also called a self-loop, is an edge that begins and ends on the same vertex. A loop is a cycle that only consists of one edge. By adding the loop on vertex A in the animation above, the Graph becomes cyclic.


Graph Representations

A Graph representation tells us how a Graph is stored in memory.

Different Graph representations can:

  • take up more or less space.
  • be faster or slower to search or manipulate.
  • be better suited depending on what type of Graph we have (weighted, directed, etc.), and what we want to do with the Graph.
  • be easier to understand and implement than others.

Below are short introductions of the different Graph representations, but Adjacency Matrix is the representation we will use for Graphs moving forward in this tutorial, as it is easy to understand and implement, and works in all cases relevant for this tutorial.

Graph representations store information about which vertices are adjacent, and how the edges between the vertices are. Graph representations are slightly different if the edges are directed or weighted.

Two vertices are adjacent, or neighbors, if there is an edge between them.


Adjacency Matrix Graph Representation

Adjacency Matrix is the Graph representation (structure) we will use for this tutorial.

How to implement an Adjacency Matrix is shown on the next page.

The Adjacency Matrix is a 2D array (matrix) where each cell on index (i,j) stores information about the edge from vertex i to vertex j.

Below is a Graph with the Adjacency Matrix representation next to it.

A B C D A B C D A B C D 1 1 1 1 1 1 1 1
An undirected Graph
and the adjacency matrix

The adjacency matrix above represents an undirected Graph, so the values '1' only tells us where the edges are. Also, the values in the adjacency matrix is symmetrical because the edges go both ways (undirected Graph).

To create a directed Graph with an adjacency matrix, we must decide which vertices the edges go from and to, by inserting the value at the correct indexes (i,j). To represent a weighted Graph we can put other values than '1' inside the adjacency matrix.

Below is a directed and weighted Graph with the Adjacency Matrix representation next to it.

A B 1 3 C 4 2 D A B C D A B C D 3 2 1 4
A directed and weighted Graph,
and its adjacency matrix.

In the adjacency matrix above, the value 3 on index (0,1) tells us there is an edge from vertex A to vertex B, and the weight for that edge is 3.

As you can see, the weights are placed directly into the adjacency matrix for the correct edge, and for a directed Graph, the adjacency matrix does not have to be symmetric.


Adjacency List Graph Representation

In case we have a 'sparse' Graph with many vertices, we can save space by using an Adjacency List compared to using an Adjacency Matrix, because an Adjacency Matrix would reserve a lot of memory on empty Array elements for edges that don't exist.

A 'sparse' Graph is a Graph where each vertex only has edges to a small portion of the other vertices in the Graph.

An Adjacency List has an array that contains all the vertices in the Graph, and each vertex has a Linked List (or Array) with the vertex's edges.

A B C D 0 1 2 3 A B C D 3 1 2 null 0 2 null 1 0 null 0 null
An undirected Graph
and its adjacency list.

In the adjacency list above, the vertices A to D are placed in an Array, and each vertex in the array has its index written right next to it.

Each vertex in the Array has a pointer to a Linked List that represents that vertex's edges. More specifically, the Linked List contains the indexes to the adjacent (neighbor) vertices.

So for example, vertex A has a link to a Linked List with values 3, 1, and 2. These values are the indexes to A's adjacent vertices D, B, and C.

An Adjacency List can also represent a directed and weighted Graph, like this:

A B 1 3 C 4 2 D 0 1 2 3 A B C D 1,3 2,2 null null 1,1 null 0,4 null
A directed and weighted Graph
and its adjacency list.

In the Adjacency List above, vertices are stored in an Array. Each vertex has a pointer to a Linked List with edges stored as i,w, where i is the index of the vertex the edge goes to, and w is the weight of that edge.

Node D for example, has a pointer to a Linked List with an edge to vertex A. The values 0,4 means that vertex D has an edge to vertex on index 0 (vertex A), and the weight of that edge is 4.


DSA Exercises

Test Yourself With Exercises

Exercise:

How can the Graph below be described?

A Graph

The Graph is cyclic, 
connected, and .

Start the Exercise



×

Contact Sales

If you want to use W3Schools services as an educational institution, team or enterprise, send us an e-mail:
sales@w3schools.com

Report Error

If you want to report an error, or if you want to make a suggestion, send us an e-mail:
help@w3schools.com

W3Schools is optimized for learning and training. Examples might be simplified to improve reading and learning. Tutorials, references, and examples are constantly reviewed to avoid errors, but we cannot warrant full correctness of all content. While using W3Schools, you agree to have read and accepted our terms of use, cookies and privacy policy.

Copyright 1999-2026 by Refsnes Data. All Rights Reserved. W3Schools is Powered by W3.CSS.